Astrophysics is a rich terrain for Data Science techniques. Large amounts of high quality data, freely available, and underanalysed.
astronomy at the forefront of big data
seems to come in waves
next up is Vera Rubin and SKA
data is pretty much always openly available
pretty well curated
always interesting to put data from different sources together
Simbad is a good place to start
Vera Rubin will be a big deal
and archives, like the exoplanet one, or the equivalent from Nasa
there’ll be an API
can do something more à la carte
filter at source
“http://dr12.sdss.org/optical/spectrum/view/data/format=csv/spec=lite?”
“plateid={plate}&mjd={mjd}&fiberid={fiber}”
mountain-top telescopes
space-based telescopes
radio-wave arrays
doing a lot of work in Infra-Red these days
spectroscopy
time-domain
formation of early universe
nature of dark matter
the mysteries of our solar system
exoplanets
almost 6000 confirmed
enough to do statistics
loads more candidates
lots being discovered in legacy data
detect by:
transits - they pass in front of their host star making them a little dimmer
radial velocity - the host star wobbles as the planet orbits, can be picked up by doppler shift in spectum
note, we never get to directly see the planet

Image from JPL
how far from its sun (from orbital period)
measure planet size (how much dimming by transit)
planet mass (from how much wobble it causes)
these last two give us planet density
can figure out if it’s a lump of rock or a ball of gas. And everything in between
Starting to get spectra of exoplanet atmospheres
they are so common, seems like default for a star to have planets
most systems have close in planets
planets migrate
find planets in orbits where they couldn’t possibly have formed
c.f. hot Jupiters
beefed up version of Earth is by far most common type
orbits aren’t very circular
beads-on-a-string mechanism quite common
exoplanet spectra will be a big deal
what gasses are in the atmosphere
even isotope abundances (\(^{13}C / ^{12}C\) and \(^{18}O / ^{16}O\))
look for bio-signatures
look for techno-signatures
most of the heavy lifting done from space (Kepler, TESS…..)
need ground based follow-up, or indeed discovery
atmosphere is a big problem
differential photometry
if all stars vary simultaneously, it’s the atmosphere
if one blinks on its own, could be interesting
need good reference stars
same colour, similar intensity
our job is identifying fields with hosts of clone stars





ideally stellar spectra should be the same
for most stars, don’t have a spectrum, just (5) colours in different wavelength bands
need some way to assess suitablity with this limited information
time for some machine learning
use stars with the full information
use them to infer behaviour for stars where we know less
take correlation between spectra
but correlation always between -1 and +1
transform by logit()

not hard to generate lots of data
split into training (70%), test (15%), and validation (15%)
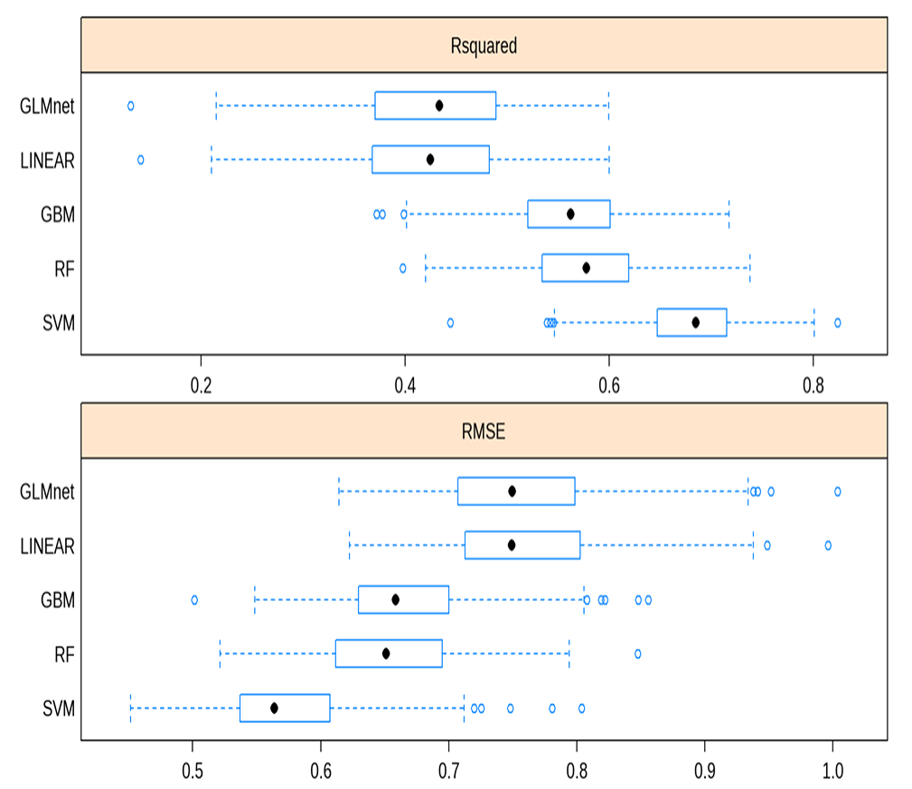
applied 5 models to our data
SVR did best

Support Vector Regression follows the general principle of Support Vector Machines, but for regression rather than classification. It fits the data using a hyperplane, a plane in high dimensional space. An extra dimension is added using a kernel that facilitates fitting complex relationships. The hyperparameters Cost and 𝜎 are used to reduce overfitting of the data. The work here used a radial basis kernel function (Karatzoglou et al., 2004). A grid search on the hyperparameters Cost (C) and sigma (𝜎) was undertaken for values 8 < C < 25 and 0.08 < 𝜎 < 0.20. The model was optimised based on the RMSE of the training set. The best tune was obtained for C = 20 and 𝜎 = 0.12.
Random Forests consist of an ensemble of a large number of decision trees (Breiman, 2001). Each tree is built from different subsamples of the training data. In addition, the split at each node is chosen based on a random subset of features which differs at every split. For regression, the mean of the predicted value from every tree is taken to be the overall predicted value. The work here used the ranger fast implementation of random forests (Wright and Ziegler, 2017). The number of trees was set to 500. The Minimum Node Size was set to be 5, the splitting rule was chosen to be variance. The number of variables to possibly split at each node (mtry) was tuned to be 6.
Gradient Boosting uses an iterative series of decision trees where poorly predicted values in the training set are up-weighted in subsequent iterations. Here Friedman’s gradient boosting algorithm (Boehmke and Greenwell, 2019) was used. A grid search on the hyperparameters Number of Boosting Iterations (n.trees), Maximum Tree Depth (interaction.depth), Shrinkage (shrinkage) which corresponds to the Learning Rate, and Minimum Terminal Node Size (n.minobsinnode) was undertaken. The model was optimised based on the RMSE of the training set. The best tune was obtained for n.trees = 100, interaction.depth = 10, n.minobsinnode = 10, and shrinkage = 0.1.
Generalised Linear Model fits generalised linear models by optimising the maximum likelihood (Friedman et al., 2010). It implements regularisation via a hyperparameter 𝛼 that varies from 0 (ridge regression) to 1 (lasso regression). It also optimises a regularisation penalty, 𝜆. The best performing parameters here were 𝛼 = 0.1 and 𝜆 = 6.7×10−4
Linear Model was the simplest model used in this work. It consisted of refining an intercept as well as coefficients for each of the ten features in the model that minimised the RMSE between predicted and observed logit correlations. The linear model used the MASS R package (Venables and Ripley, 2002). There were no tunable parameters.



use this to point at stars
calculate benefit of the better reference stars

Astrodata